Animal Nutrition & Health

FUMzyme® sol

dsm-firmenich PERFORMANCE SOLUTIONS

Die flüssige Lösung des Erfinders von Mycofix®

FUMzyme®, das einzige auf Fumonisine ausgerichtete Enzym, ist auch für alle Anwendungen nach der Pelletierung erhältlich.

FUMzyme® ist unser bahnbrechendes, patentiertes und registriertes gereinigtes Enzym zur Biotransformation von Fumonisinen in nicht-toxische Metaboliten1. DSM-firmenich bietet ein revolutionäres Produkt an, FUMzyme®sol, das für alle Arten von flüssigen Anwendungen nach Behandlungen bei Temperaturen geeignet ist, die die Enzymaktivität herausfordern könnten. 

1Verordnung EU Nr. 1115/2014, 2017/913, 2018/1568, 2021/363

Suchen Sie weitere Informationen?

Unsere Experten sind immer für Sie da.

Wenn Sie bereits Kunde sind, gehen Sie bitte direkt zu unserem Kundenportal.

Wichtigste Vorteile

  • Irreversible Entgiftung von Fumonisinen durch Biotransformation
  • Verringerung der allgemeinen negativen Auswirkungen von Fumonisinen auf die Leber, das Immunsystem, die Darmintegrität und die allgemeine Leistungsfähigkeit
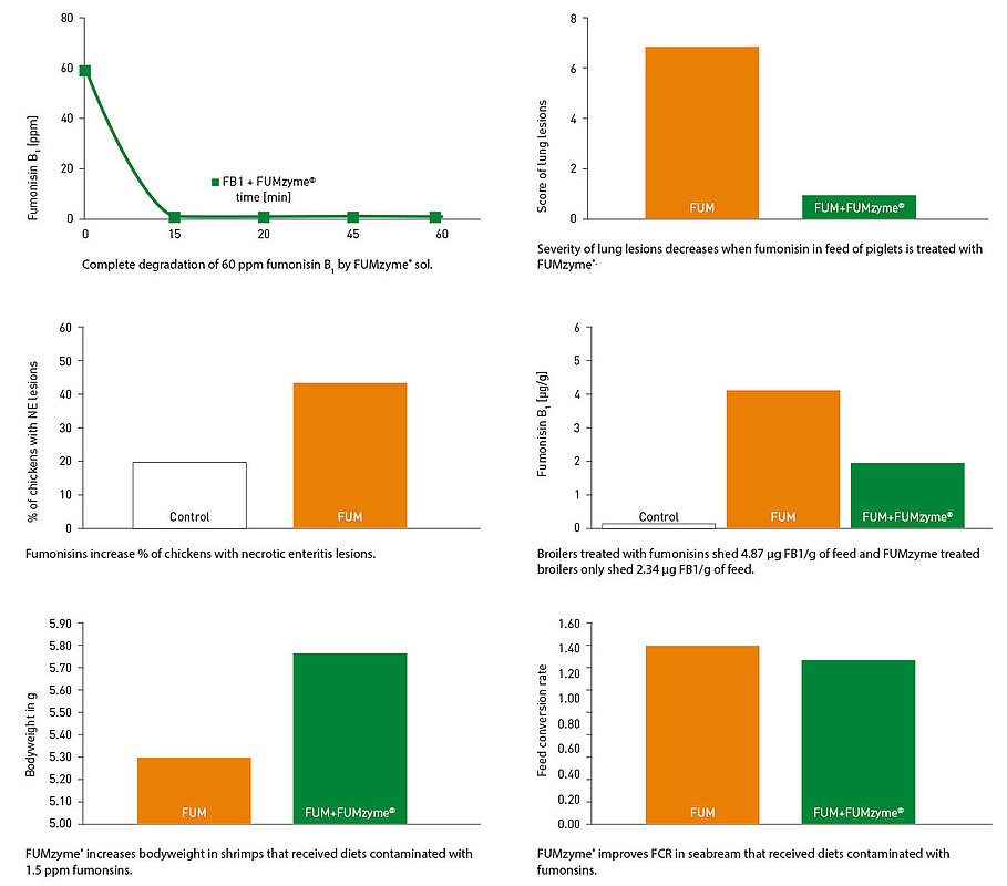
  • Verhindert fumonisininduzierte Probleme wie porcine pulmonary edema, predisposition to necrotic enteritis and reduced storage stability of shrimp meat

Reaktion der Entgiftung von Fumonisin B1 durch FUMzyme, die zu seiner entgifteten Form führt

Warum brauchen wir ein Enzym gegen Fumonisine?

Fumonisine sind die weltweit am zweithäufigsten vorkommende Gruppe von Mykotoxinen. Sie können mit anderen Mykotoxinen interagieren und Synergieeffekte haben, die die Gesundheit und Produktivität von Nutztieren beeinträchtigen.

Im Gegensatz zu Aflatoxinen und aufgrund ihrer chemischen Struktur können Fumonisine bei dem relevanten pH-Wert im Magen-Darm-Trakt nicht ausreichend durch "Bindemittel" gebunden werden. Die folgende Abbildung zeigt die pH-Abhängigkeit der Adsorption von Fumonisin durch verschiedene auf dem Markt befindliche Bindemittel:

×

Wir stellen vor: FUMzyme® sol, das erste wasserlösliche gereinigte Enzym, das einfach auf extrudierte Futtermittel aufgesprüht werden kann und Fumonisine effektiv in nicht-toxische Metaboliten abbaut.

Die Abbildung zeigt die pH-Abhängigkeit der Adsorption von Fumonisin durch verschiedene auf dem Markt befindliche Bindemittel

FUMzyme® sol zu einem Leitungswasser (1) hinzugefügt und gemischt (2). Die FUMzyme® sol-Lösung wird dann in den Tank (3) für die Nachpellet-Flüssigkeitsspritzung (4) gefüllt und auf das Futter gespritzt.

In-vitro- und In-vivo-Wirksamkeit 

Die entgiftende Wirkung dieses revolutionären Enzyms wurde in in vitro- und in vivo-Experimenten bestätigt. FUMzyme® wandelt 60 ppm Fumonisin B1 nach nur 15 Minuten in den ungiftigen Metaboliten um.

Die entgiftende Wirkung dieses revolutionären Enzyms wurde in in vitro und in vivo Experimenten bestätigt. FUMzyme® wandelt 60 ppm Fumonisin B1 nach nur 15 Minuten in den ungiftigen Metaboliten um.

Bestimmte Aussagen sind möglicherweise nicht in allen geografischen Regionen von anwendbar. Die mit dem Produkt verbundenen Ansprüche können je nach staatlichen Anforderungen unterschiedlich sein.

Die Produktverfügbarkeit kann je nach Land variieren. Bitte kontaktieren Sie uns unter für weitere Informationen.

Nicht alle Produkte sind auf allen Märkten erhältlich, und die damit verbundenen Angaben sind nicht in allen Regionen zulässig (einschließlich, aber nicht beschränkt auf die USA und Kanada).

Teilen